250x250
반응형
Notice
Recent Posts
Recent Comments
Link
N
(Leet Code c++)Convert Sorted Array to Binary Search Tree 본문
Leet Code 알고리즘
(Leet Code c++)Convert Sorted Array to Binary Search Tree
naeunchan 2021. 7. 14. 11:45728x90
반응형
108. Convert Sorted Array to Binary Search Tree
Easy
4312293Add to ListShare
Given an integer array nums where the elements are sorted in ascending order, convert it to a height-balanced binary search tree.
A height-balanced binary tree is a binary tree in which the depth of the two subtrees of every node never differs by more than one.
Example 1:

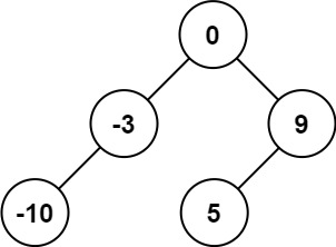
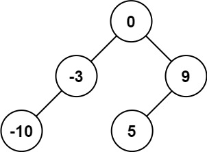
Input: nums = [-10,-3,0,5,9] Output: [0,-3,9,-10,null,5] Explanation: [0,-10,5,null,-3,null,9] is also accepted:

Example 2:

Input: nums = [1,3] Output: [3,1] Explanation: [1,3] and [3,1] are both a height-balanced BSTs.
Constraints:
- 1 <= nums.length <= 104
- -104 <= nums[i] <= 104
- nums is sorted in a strictly increasing order.
정렬된 배열을 BST로 바꿔야 한다.
재귀를 통해 BST를 쉽게 만들 수 있다.
/**
* Definition for a binary tree node.
* struct TreeNode {
* int val;
* TreeNode *left;
* TreeNode *right;
* TreeNode() : val(0), left(nullptr), right(nullptr) {}
* TreeNode(int x) : val(x), left(nullptr), right(nullptr) {}
* TreeNode(int x, TreeNode *left, TreeNode *right) : val(x), left(left), right(right) {}
* };
*/
class Solution {
public:
TreeNode * makeTree(vector<int> nums, int start, int end){
if(start > end){
return NULL;
}
int mid = (start + end) / 2;
TreeNode * root = new TreeNode(nums[mid]);
root->left = makeTree(nums, start, mid - 1);
root->right = makeTree(nums, mid + 1, end);
return root;
}
TreeNode* sortedArrayToBST(vector<int>& nums) {
int start = 0;
int end = nums.size() - 1;
return makeTree(nums, start, end);
}
};728x90
반응형
'Leet Code 알고리즘' 카테고리의 다른 글
| (Leet Code c++)Minimum Depth of Binary Tree (0) | 2021.07.15 |
|---|---|
| (Leet Code c++)Balanced Binary Tree (0) | 2021.07.14 |
| (Leet Code c++)Concatenation of Array (0) | 2021.07.14 |
| (Leet Code c++)Maximum Depth of Binary Tree (0) | 2021.07.14 |
| (Leet Code c++)Symmetric Tree (0) | 2021.07.13 |