250x250
반응형
Notice
Recent Posts
Recent Comments
Link
N
(Leet Code c++)Invert Binary Tree 본문
728x90
반응형
226. Invert Binary Tree
Given the root of a binary tree, invert the tree, and return its root.
Example 1:

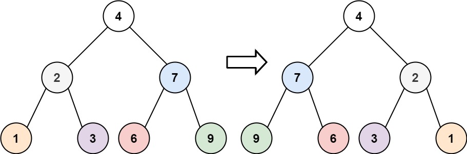
Input: root = [4,2,7,1,3,6,9] Output: [4,7,2,9,6,3,1]
Example 2:

Input: root = [2,1,3] Output: [2,3,1]
Example 3:
Input: root = [] Output: []
Constraints:
- The number of nodes in the tree is in the range [0, 100].
- -100 <= Node.val <= 100
주어진 이진 트리를 반대로 뒤집어서 리턴하면 된다.
재귀함수로 구현.
매개 변수로 받은 root가 NULL이라면 바로 root를 리턴.
root가 NULL이 아니라면,
swap() 함수를 통해 왼쪽과 오른쪽을 바꿔준다.
그리고 다시 invertTree() 함수를 통해 root의 왼쪽부터 방문한 뒤,
root의 오른을 방문하면 끝이다!
/**
* Definition for a binary tree node.
* struct TreeNode {
* int val;
* TreeNode *left;
* TreeNode *right;
* TreeNode() : val(0), left(nullptr), right(nullptr) {}
* TreeNode(int x) : val(x), left(nullptr), right(nullptr) {}
* TreeNode(int x, TreeNode *left, TreeNode *right) : val(x), left(left), right(right) {}
* };
*/
class Solution {
public:
TreeNode* invertTree(TreeNode* root) {
if(root != NULL){
swap(root->left, root->right);
invertTree(root->left);
invertTree(root->right);
return root;
}
else{
return root;
}
}
};728x90
반응형
'Leet Code 알고리즘' 카테고리의 다른 글
| (Leet Code c++)Implement Queue using Stacks (0) | 2021.07.27 |
|---|---|
| (Leet Code c++)Power of Two (0) | 2021.07.27 |
| (Leet Code c++)Implement Stack using Queues (0) | 2021.07.26 |
| (Leet Code c++)Contains Duplicate(2) (0) | 2021.07.23 |
| (Leet Code c++)Contains Duplicate (0) | 2021.07.23 |