250x250
반응형
Notice
Recent Posts
Recent Comments
Link
N
(TIL Day03-6)자료구조- 그래프 본문
728x90
반응형
그래프(Graph)
- 정점과 정점 사이를 연결하는 간선으로 이뤄진 비선형 자료구조.
- 정점 집합과 간선 집합으로 표현할 수 있다.
- 지하철 노선도나 인물 관계도를 떠올리면 쉽게 이해할 수 있다.
- 정점은 여러 개의 간선을 가질 수 있다.
- 방향 그래프와 무방향 그래프가 존재.
- 간선은 가중치를 가질 수 있다.
- 사이클이 발생할 수 있다.
- JS에서 인접 행렬, 인접 리스트로 그래프를 표현할 수 있다.
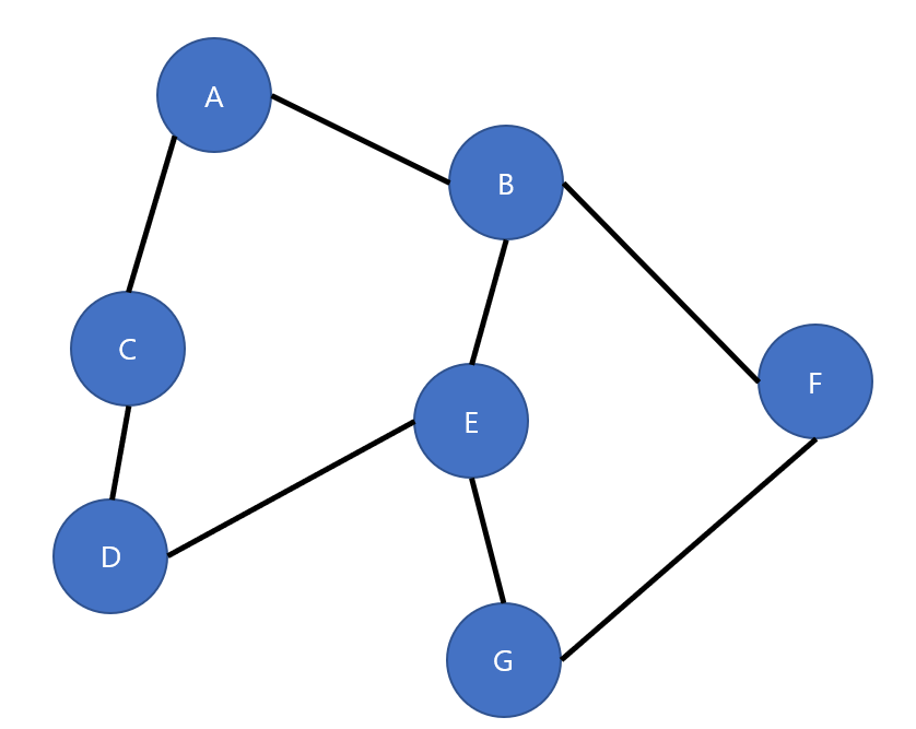
무방향 그래프
간선으로 이어진 정점끼리는 양방향으로 이동이 가능.
ex) (A, B) == (B, A)

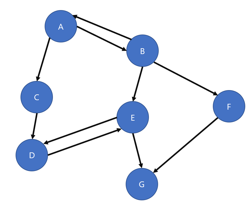
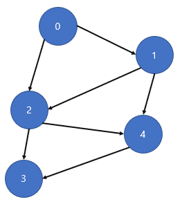
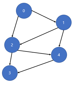
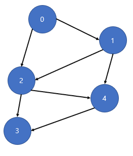
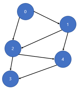
방향 그래프
- 간선에 방향성이 존재하는 그래프.
- 양방향으로 갈 수 있어도 <A, B>와 <B, A>는 다른 간선으로 취급된다.

코드
// 인접 행렬
const graph = Array.from(Array(5), () => Array(5).fill(false));
graph[0][1] = true; // 0 -> 1
graph[0][2] = true; // 0 -> 2
graph[1][2] = true; // 1 -> 2
graph[2][4] = true; // 2 -> 4
graph[4][3] = true; // 4 -> 3
console.log(graph);
// 인접 리스트
const graph = Array.from(Array(5), () => []);
graph[0].push(1);
graph[0].push(2);
graph[1].push(2);
graph[2].push(4);
graph[4].push(3);
console.log(graph);

728x90
반응형
'TIL' 카테고리의 다른 글
| (TIL Day06-2)일급 객체와 일급 함수 (0) | 2021.08.09 |
|---|---|
| (TIL Day06-1)HTML과 CSS, DOM (0) | 2021.08.09 |
| (TIL Day03-05)자료구조- 해시 테이블 (0) | 2021.08.06 |
| (TIL Day03-4)자료구조- 큐 (0) | 2021.08.06 |
| (TIL Day03-3)자료구조- 스택 (0) | 2021.08.06 |