N
(Leet Code c++)Linked List Cycle 본문
141. Linked List Cycle
Given head, the head of a linked list, determine if the linked list has a cycle in it.
There is a cycle in a linked list if there is some node in the list that can be reached again by continuously following the next pointer. Internally, pos is used to denote the index of the node that tail's next pointer is connected to. Note that pos is not passed as a parameter.
Return true if there is a cycle in the linked list. Otherwise, return false.
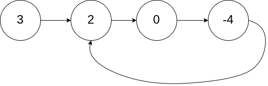
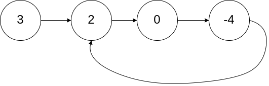
Example 1:

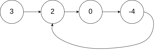
Input: head = [3,2,0,-4], pos = 1 Output: true Explanation: There is a cycle in the linked list, where the tail connects to the 1st node (0-indexed).
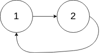
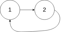
Example 2:

Input: head = [1,2], pos = 0 Output: true Explanation: There is a cycle in the linked list, where the tail connects to the 0th node.
Example 3:

Input: head = [1], pos = -1 Output: false Explanation: There is no cycle in the linked list.
Constraints:
- The number of the nodes in the list is in the range [0, 104].
- -105 <= Node.val <= 105
- pos is -1 or a valid index in the linked-list.
연결 리스트의 사이클을 확인하는 문제.
Fast and Slow 알고리즘을 공부할 수 있게 되었다.
https://www.geeksforgeeks.org/how-does-floyds-slow-and-fast-pointers-approach-work/
How does Floyd's slow and fast pointers approach work? - GeeksforGeeks
A Computer Science portal for geeks. It contains well written, well thought and well explained computer science and programming articles, quizzes and practice/competitive programming/company interview Questions.
www.geeksforgeeks.org
/**
* Definition for singly-linked list.
* struct ListNode {
* int val;
* ListNode *next;
* ListNode(int x) : val(x), next(NULL) {}
* };
*/
class Solution {
public:
bool hasCycle(ListNode *head) {
ListNode * slow = head;
ListNode * fast = head;
while(fast != NULL && fast->next != NULL){
fast = fast->next->next;
slow = slow->next;
if(fast == slow){
return true;
}
}
return false;
}
};'Leet Code 알고리즘' 카테고리의 다른 글
| (Leet Code c++)Binary Tree Postorder Traversal (0) | 2021.07.19 |
|---|---|
| (Leet Code c++)Binary Tree Preorder Traversal (0) | 2021.07.17 |
| (Leet Code c++)Single Number (0) | 2021.07.17 |
| (Leet Code c++)Valid Palindrome (0) | 2021.07.16 |
| (Leet Code c++)Best Time to Buy and Sell Stock(2) (0) | 2021.07.16 |