250x250
반응형
Notice
Recent Posts
Recent Comments
Link
N
(Leet Code c++)Binary Tree Postorder Traversal 본문
728x90
반응형
145. Binary Tree Postorder Traversal
Given the root of a binary tree, return the postorder traversal of its nodes' values.
Example 1:

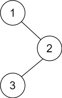
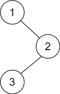
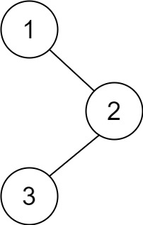
Input: root = [1,null,2,3] Output: [3,2,1]
Example 2:
Input: root = [] Output: []
Example 3:
Input: root = [1] Output: [1]
Example 4:

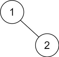
Input: root = [1,2] Output: [2,1]
Example 5:

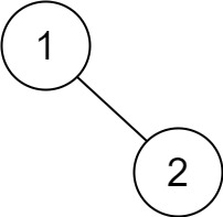
Input: root = [1,null,2] Output: [2,1]
Constraints:
- The number of the nodes in the tree is in the range [0, 100].
- -100 <= Node.val <= 100
이진 트리의 후위 탐색.
순서는 왼쪽 자식 노드 -> 오른쪽 자식 노드 -> 현재 노드 순서로 방문하여 Treenode에 있는 val을 answer 벡터에 담아주면 된다.
/**
* Definition for a binary tree node.
* struct TreeNode {
* int val;
* TreeNode *left;
* TreeNode *right;
* TreeNode() : val(0), left(nullptr), right(nullptr) {}
* TreeNode(int x) : val(x), left(nullptr), right(nullptr) {}
* TreeNode(int x, TreeNode *left, TreeNode *right) : val(x), left(left), right(right) {}
* };
*/
class Solution {
public:
void postorder(TreeNode * node, vector<int> &answer){
if(node->left != NULL){
postorder(node->left, answer);
}
if(node->right != NULL){
postorder(node->right, answer);
}
answer.push_back(node->val);
}
vector<int> postorderTraversal(TreeNode* root) {
vector<int> answer;
if(root != NULL){
postorder(root, answer);
}
return answer;
}
};728x90
반응형
'Leet Code 알고리즘' 카테고리의 다른 글
| (Leet Code c++)Intersection of Two Linked Lists (0) | 2021.07.19 |
|---|---|
| (Leet Code c++)Min Stack (0) | 2021.07.19 |
| (Leet Code c++)Binary Tree Preorder Traversal (0) | 2021.07.17 |
| (Leet Code c++)Linked List Cycle (0) | 2021.07.17 |
| (Leet Code c++)Single Number (0) | 2021.07.17 |