250x250
반응형
Notice
Recent Posts
Recent Comments
Link
N
(Leet Code c++)Remove Linked List Elements 본문
728x90
반응형
203. Remove Linked List Elements
Given the head of a linked list and an integer val, remove all the nodes of the linked list that has Node.val == val, and return the new head.
Example 1:

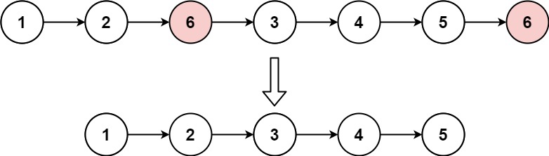
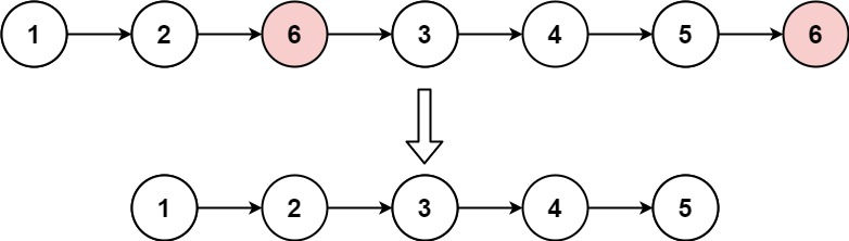
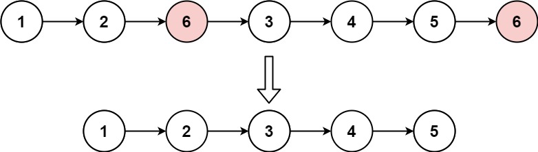
Input: head = [1,2,6,3,4,5,6], val = 6 Output: [1,2,3,4,5]
Example 2:
Input: head = [], val = 1 Output: []
Example 3:
Input: head = [7,7,7,7], val = 7 Output: []
Constraints:
- The number of nodes in the list is in the range [0, 104].
- 1 <= Node.val <= 50
- 0 <= val <= 50
Linked List에서 원소를 제거한 후 결과를 리턴.
우선 처음에는 head(current)가 NULL인지 확인한다.
NULL인 경우는 바로 NULL값을 리턴하여 종료.
NULL이 아닌 경우 current->next가 NULL이 아닐 때까지 반복.
current->next를 간편하게 next로 저장한다.
next->val과 지우려고 하는 val이 같은지 확인하여, 같은 경우 current->next = next->next로 바꿔 준다.
같지 않다면 current = next로 하여 다음 링크로 이동.
이를 반복하면 연결 리스트에서 val을 모두 지울 수 있다.
단, 마지막에 head 값이 val인지 확인하고
head->val == val 이라면 head->next를 리턴.
아니라면 head를 리턴!
/**
* Definition for singly-linked list.
* struct ListNode {
* int val;
* ListNode *next;
* ListNode() : val(0), next(nullptr) {}
* ListNode(int x) : val(x), next(nullptr) {}
* ListNode(int x, ListNode *next) : val(x), next(next) {}
* };
*/
class Solution {
public:
ListNode* removeElements(ListNode* head, int val) {
ListNode * current = head;
if(current == NULL){
return NULL;
}
while(current->next != NULL){
ListNode * next = current->next;
if(next->val == val){
current->next = next->next;
}
else{
current = next;
}
}
if(head->val == val){
return head->next;
}
return head;
}
};728x90
반응형
'Leet Code 알고리즘' 카테고리의 다른 글
| (Leet Code c++)Count Primes (0) | 2021.07.22 |
|---|---|
| (Leet Code c++)Happy Number (0) | 2021.07.22 |
| (Leet Code c++)Number of 1 Bits (0) | 2021.07.21 |
| (Leet Code c++)Reverse Bits (0) | 2021.07.21 |
| (Leet Code c++)Factorial Trailing Zeroes (0) | 2021.07.21 |