250x250
반응형
Notice
Recent Posts
Recent Comments
Link
N
(Leet Code JS)Maximum Depth of Binary Tree 본문
728x90
반응형
104. Maximum Depth of Binary Tree
Given the root of a binary tree, return its maximum depth.
A binary tree's maximum depth is the number of nodes along the longest path from the root node down to the farthest leaf node.
Example 1:

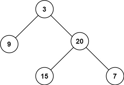
Input: root = [3,9,20,null,null,15,7]
Output: 3
Example 2:
Input: root = [1,null,2]
Output: 2
Example 3:
Input: root = []
Output: 0
Example 4:
Input: root = [0]
Output: 1
Constraints:
- The number of nodes in the tree is in the range [0, 104].
- -100 <= Node.val <= 100
/**
* Definition for a binary tree node.
* function TreeNode(val, left, right) {
* this.val = (val===undefined ? 0 : val)
* this.left = (left===undefined ? null : left)
* this.right = (right===undefined ? null : right)
* }
*/
/**
* @param {TreeNode} root
* @return {number}
*/
const dfs = (node, depth) => {
const left = node.left !== null ? dfs(node.left, depth + 1) : depth;
const right = node.right !== null ? dfs(node.right, depth + 1) : depth;
return Math.max(left, right);
}
const maxDepth = (root) => {
let answer = 0;
if(root !== null){
answer = dfs(root, 1);
}
return answer;
};728x90
반응형
'Leet Code 알고리즘' 카테고리의 다른 글
| (Leet Code JS)Number of Islands (0) | 2021.11.14 |
|---|---|
| (Leet Code JS)Path Sum II (0) | 2021.11.14 |
| (Leet Code JS)Subdomain Visit Count (0) | 2021.11.06 |
| (Leet Code JS)Subarray Sum Equals K (0) | 2021.11.06 |
| (Leet Code JS)Longest Substring Without Repeating Characters (0) | 2021.11.02 |